Information pertaining to the Secure Rural Schools and Community Self-Determination Act.
Press Releases
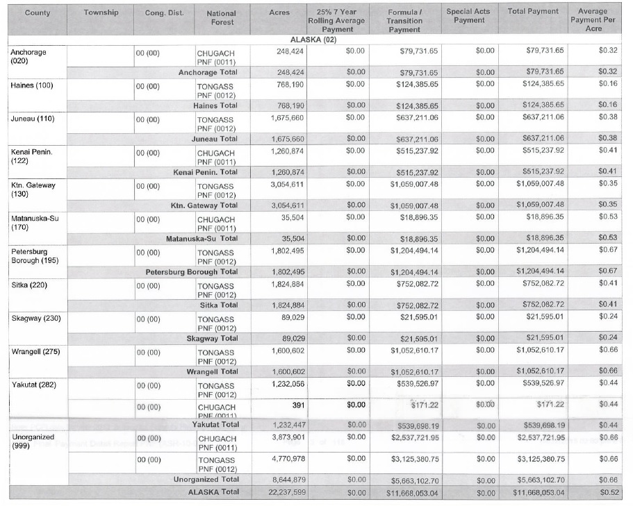
Annual Data
SRS Alaska Data for 2018 04 16 19 - SRS Payments AK FY18.pdf (5.58 KB)
SRS Alaska Data for 2017 SRS FY17 Alaska Data.pdf (11.00 KB)
SRS Alaska Data for 2016 3 18 16 Alaska SRS Payments.pdf (1017.86 KB)
SRS Alaska Data for 2015 SRS Alaska Data for 2015.jpg (226.66 KB)
SRS Alaska Data for 2014 SRS 2014 data summary Alaska.pdf (184.12 KB)